PRODUCT CENTER
特色產品
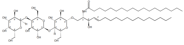
十八酰基鞘氨醇三己糖苷(Octadecanoyl-ceramide trihexoside)是一種具有重要生物學意義的鞘糖脂,其CAS號為69283-33-6,產品編號為56-1043。該化合物在生物醫學研究領域備受關注,特別是在細胞信號傳導和疾病機制研究方面。本文將從其化學特性、結構特征及研究價值三個方面進行系統闡述。

作為Larodan在中國的區域總代理,艾美捷科技強烈推薦Larodan熱銷產品十八酰基鞘氨醇三己糖苷。產品僅用于科研,不可用于臨床診斷。
| 產品名稱 | 貨號 | 詳情 |
| 十八酰基鞘氨醇三己糖苷 | 56-1043-45 | 查看 |
一、化學特性與結構解析
該化合物的分子式為C54H101NO18,分子量為1052.38,其結構包含三個關鍵部分:十八酰基鞘氨醇骨架、三糖單元和疏水尾鏈。三糖鏈由α-D-半乳吡喃糖基(1→4)-β-D-半乳吡喃糖基(1→4)-β-D-葡萄吡喃糖基通過特定的糖苷鍵連接而成,這種糖鏈排列使其具有良好的水溶性。疏水端包含一個十八碳飽和脂肪酸通過酰胺鍵與鞘氨醇連接,以及一個十七碳烯鏈(3E-構型),形成典型的兩親性分子結構。
從立體化學角度看,該分子包含多個手性中心,其空間構型可通過InChI鍵(KWGVNZWSEWAOMI-DHCJWVHISA-N)精確表征。這種特定的三維結構對其生物功能具有決定性影響。在物理性質方面,該化合物在常溫下為固體,需要冷凍保存以確保穩定性。其高純度(>99%)和"Neat"的供應形式使其成為理想的研究標準品。
二、生物學功能與研究進展
十八酰基鞘氨醇三己糖苷是細胞膜上重要的功能分子,在多個生物學過程中發揮關鍵作用:
1. 細胞識別與信號傳導
該化合物作為Gb3(CD77)抗原的重要形式,在細胞間識別和信號轉導中起重要作用。其糖鏈結構能夠被特定受體識別,進而激活下游信號通路。
2. 疾病關聯性研究
研究表明,該分子在法布里病(Fabry disease)的發病機制中具有重要意義。患者體內由于α-半乳糖苷酶A的缺乏,導致這類鞘糖脂在組織中異常沉積,引起多系統病變。
3. 病原體相互作用
某些病原體(如志賀毒素產生菌)的毒素蛋白能夠特異性識別Gb3受體,這一相互作用是相關感染性疾病發生的重要分子基礎。
三、應用前景與研究方向
隨著研究技術的不斷發展,十八酰基鞘氨醇三己糖苷在以下領域展現出廣闊的應用前景:
1. 診斷試劑開發
作為法布里病等遺傳性代謝疾病的重要生物標志物,該化合物可用于開發新型診斷試劑和檢測方法。
2. 藥物研發平臺
通過對其結構進行合理修飾,可能開發出針對特定受體的抑制劑或激動劑,為相關疾病的治療提供新策略。
3. 基礎研究工具
在膜生物學、脂筏結構和功能研究中,該化合物可作為重要的分子探針,幫助揭示細胞膜的復雜生物學過程。
結語
十八酰基鞘氨醇三己糖苷作為鞘糖脂家族中的重要成員,其獨特的化學結構和多樣的生物學功能使其成為連接化學研究與生命科學的重要橋梁。隨著單分子檢測技術和結構生物學方法的進步,對此類化合物的深入研究將為我們理解生命過程的分子機制提供新的視角,并為相關疾病的診斷和治療開辟新的途徑。未來,基于這類化合物的研究有望在精準醫療和轉化醫學領域取得重要突破。
Larodan 公司成立于 1963 年,坐落于瑞典斯德哥爾摩的卡羅林斯卡學院(諾貝爾獎委員會所在地)中,主要從事高純度脂類的開發,制造和銷售,產品包括脂肪酸,脂肪酸脂,甘油三酯,蠟脂,磷脂,鞘脂等,也提供穩定的放射性同位素化合物,NMR 消耗品和特種生化試劑以及環境和法醫標準等,提供從ug 到 g 級包裝,標準純度高于99%。所有產品都附有分析證書,擁有很高的性價比。
作為Larodan 在中國區總代理,艾美捷科技有限公司將為中國客戶提供全面的Larodan 產品以及客戶訂制化服務,歡迎大家隨時聯系我們。
微信掃碼在線客服