PRODUCT CENTER
特色產品在鞘脂家族的精細調控網絡中,脂肪酸鏈長與飽和度的微小差異足以引發生物學功能的顯著分化。當我們將目光投向那些非典型的奇數碳鏈成員時,一個更為精巧的調控維度便展現在眼前。C17-神經酰胺(產品編號:56-1136,CAS號:67492-16-4),以其十七碳飽和脂肪酸鏈這一獨特結構,突破了天然脂質多以偶數碳存在的常規,成為揭示鞘脂鏈長特異性生物學效應的關鍵分子工具,在基礎膜生物學與信號轉導研究中展現出不可替代的價值。

作為Larodan在中國的區域總代理,艾美捷科技強烈推薦Larodan熱銷產品C17-神經酰胺。產品僅用于科研,不可用于臨床診斷。
| 產品名稱 | 貨號 | 詳情 |
| C17-神經酰胺 | 56-1136-5 | 查看 |
一、精準的化學結構與特性分析
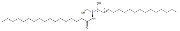
C17-神經酰胺的系統化學名稱為“十七烷酰胺,N-[(1S,2R,3E)-2-羥基-1-(羥甲基)-3-十七碳烯-1-基]-”,在學術文獻中也常簡潔地標記為 Cer d18:1/17:0。其分子式為C35H69NO3,分子量為551.93 g/mol。該分子由經典的D-赤型-鞘氨醇(d18:1)與一個完全飽和的十七碳脂肪酸(十七烷酸)通過酰胺鍵連接而成。
其最核心的特征在于連接的脂肪酸鏈含有17個碳原子,是一個奇數碳鏈。這一結構差異雖看似微小,卻從物理化學層面帶來了獨特性質。與常見的偶數碳鏈同系物相比,奇數碳鏈的引入破壞了分子整體的對稱性,影響了其在晶格或脂雙層中的最終堆積方式和分子間相互作用力。這可能導致其膜相行為、與鄰近脂質(如膽固醇)的側向相互作用以及在水界面處的排列取向發生微妙改變。其精確的立體構型由等規SMILES及唯一的InChIKey(ICWGMOFDULMCFL-QKSCFGQVSA-N)嚴格界定。本產品以>98%的高純度固態形式提供,需在冷凍條件下儲存以確保穩定性,并隨附分析證書。
二、核心研究價值與生物學意義
C17-神經酰胺的主要價值并非作為廣泛的天然生物組成成分,而是作為一個精密的研究探針,服務于以下幾個前沿科學領域:
1.鏈長特異性效應的精密解析工具
在鞘脂生物學中,一個核心問題是:不同鏈長的神經酰胺如何執行其特異性功能?利用C17-神經酰胺與C16、C18等偶數碳鏈同系物進行對比研究,是回答這一問題的黃金策略。通過將細胞暴露于這些結構高度相似、僅鏈長存在奇偶差異的神經酰胺中,研究人員可以精確觀察其對膜流動性、脂筏組裝、細胞凋亡效率、自噬激活乃至特定信號通路(如AKT/PKB通路)影響的細微差別。這種“控制變量”式的研究,能夠最清晰地揭示鏈長本身,特別是碳原子數奇偶性,對神經酰胺功能的獨立貢獻。
2.膜生物物理學的理想模型分子
在人工膜模型(如脂質體、支撐脂雙層)研究中,C17-神經酰胺是探究脂質-脂質相互作用的寶貴工具。其奇數碳鏈引入的“不對稱性”和“空間位阻效應”,有助于科學家理解神經酰胺如何影響脂雙層的厚度、彎曲模量、相分離行為以及納米微域的形成。這些基礎物理參數的獲取,對于從根本上闡釋神經酰胺在膜融合、膜蛋白功能調控等核心細胞過程中的作用機制至關重要。
3.代謝示蹤與合成酶特異性研究
在細胞內,不同鏈長的神經酰胺由特異的神經酰胺合酶(CerS)催化合成。例如,CerS1偏好生成C18-神經酰胺,而CerS5/6主要生成C14-/C16-神經酰胺。C17-神經酰胺作為一種在哺乳動物細胞中非天然的物種,當其作為前體被細胞攝取后,可以作為一種獨特的“示蹤劑”。通過追蹤其代謝命運(例如,是否會進一步延長、是否會用于合成更復雜的鞘脂如鞘糖脂),研究人員能夠剖析鞘脂代謝網絡的 plasticity 與底物寬容度,并探究不同CerS的底物選擇特異性機制。
4.藥物遞送與材料科學的潛在應用
從應用角度看,C17-神經酰胺獨特的物理化學性質為其在生物技術領域的應用提供了可能。在構建脂質體藥物遞送系統時,摻入C17-神經酰胺可能會改變脂質雙層的包裝密度和穩定性,從而調節藥物的包封效率與釋放動力學。其奇數碳鏈可能賦予脂質體不同于常規偶數碳鏈神經酰胺的體內循環特性和與細胞膜的相互作用方式。
作為Larodan 在中國區總代理,艾美捷科技有限公司將為中國客戶提供全面的Larodan 產品以及客戶訂制化服務,歡迎大家隨時聯系我們。
微信掃碼在線客服