PRODUCT CENTER
特色產品
應用說明:
神經節苷脂1是酸性鞘糖脂,在細胞質膜的外小葉中形成脂筏,特別是 在中樞神經系統的神經元細胞中。2它們參與細胞增殖、分化、粘附、信號 轉導、細胞間相互作用、腫瘤發生和轉移。3神經節苷脂的積累與 幾種疾病,包括Tay-Sachs和Sandhoff病,而對神經節苷脂的自身免疫反應可導致 吉蘭-巴雷綜合征。米勒-費雪綜合征是吉蘭-巴雷綜合征的一種變體,是一種自身免疫性疾病 以存在抗GQ為特征1b神經節苷脂抗體。對這些抗體的研究揭示了 雪旺細胞。GQ1b已被證明可以增強人外周血單核細胞的 Ig 產生,并 選擇性增強Th1細胞因子的產生,同時抑制Th2的產生。GQ1b也被證明可以增強 PHA 誘導的 IL-2分泌外周血T細胞,同時減少PHA誘導的IL-4和IL-5分泌。GQ1b抑制 PHA 誘導的 T 細胞中 cAMP 水平的增加并抑制 T 細胞中 PHA 刺激的腺苷酸環化酶活性。4

作為Matreya LLC全國總代理,艾美捷科技強烈推薦Matreya熱銷產品雙唾液酸神經節苷脂GD1b(NH4 +鹽)。產品僅用于科研,不可用于臨床診斷。
| 產品名稱 | 貨號 | 詳情 |
| GQ1b(NH4+鹽) | 1516-1 | 查看 |
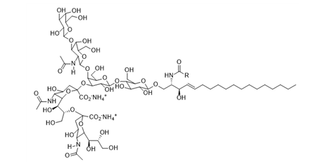
GQ1b(NH4+鹽)詳細信息:
目錄 #:1516-1
學名:四巍吼神經節苷脂GQ1b(新罕布什爾州4+鹽),牛
通用名稱:GQ1b
實驗式:C106H182N6O55?4NH3(硬脂酰)
CAS#:68652-37-9
配方重量:2421 +4NH3(硬脂酰)
單位:1毫克
源:自然的
純度:98+
分析方法:TLC,身份由MS確認
天然來源:牛
溶解度:氯仿/甲醇/水, 2:1:0.1;在水中形成膠束溶液
物理外觀:固體
存儲:-20°C
干冰:不
危險:不
參考資料:
1. L. Svennerholm, et al. (eds.), Structure and Function of Gangliosides, New York, Plenum, 1980
2. T. Kolter, R. Proia, K. Sandhoff, Combinatorial Ganglioside Biosynthesis. J. Biol. Chem., July Vol. 277, No. 29, pp. 25859-25862, 2002
3. S. Birkle, G. Zeng, L. Gao, R. K. Yu, and J. Aubry. Role of tumor-associated gangliosides in cancer progression. Biochimie, 85, 455–463, 2003
4. N. Kanda and S. Watanabe “Gangliosides GD1b, GT1b, and GQ1b Enhance IL-2 and IFN-g Production and Suppress IL-4 and IL-5 Production in Phytohemagglutinin-Stimulated Human T Cells” The Journal of Immunology, Vol. 166 pp. 72-80, 2001
Matreya LLC是一家脂質生化公司,致力于開發和制造高質量的脂質和生物化學品。Matreya在化學合成以及天然產物提取和純化方面經驗豐富,生產出的產品具有極佳純度。 Matreya產品線包括一系列鞘脂、糖脂、鞘糖脂、脂肪酸和酯、甾醇和維生素E異構體(生育酚和生育三烯酚)。專長是生產高純度鞘氨醇、神經酰胺、硫酸酯、神經節苷脂、酶抑制劑、生育酚和生育三烯酚。是全球提供脂質產品的供應商之一。產品涉及生物化學、制藥、微生物學、食品和農業等研究領域。
微信掃碼在線客服